Economía de la Salud

 

Costo-efectividad en intervenciones para disminuir la prevalencia de neuropatia periferica secundaria a diabetes

 

Cost-effectiveness of interventions to reduce the prevalence of peripheral neuropathy secondary to diabetes.

 

Aline Aguilar(1 ), Paulina Campos( 1) , Vanesa Carmona, Angela Rodríguez(1) , Avelar Dayana(1), Armando Arredondo (2)

 

1 Estudiantes de Maestría en Salud Pública del Instituto Nacional de Salud Pública.

2 Autor correspondiente: Profesor-Investigador Titular del Instituto Nacional de Salud Pública. Profesor visitante Universidad de Montrel.

Dirección para recibir correspondencia: Autor Correspondiente: Dr Armando Arredondo, Universidad de Montreal. 7101 av du Parc, 3e étage, Bureau 3074-5, Montreal, Québec H3N 1X9, Canadá. armando.arredondo@umontreal.ca

 

Artículo recibido el 26 de junio de 2014
Aceptación el 24 de septiembre del 2014

 

Resumen

Objetivo: Determinar mediante un estudio de costo efectividad cual de tres intervenciones en Xoxocotla, Morelos es la màs costo efectiva para disminuir la prevalencia de neuropatìa diabètica secundaria a Diabetes Mellitus. Material y Mètodos: En una muestra de 556 personas se realizó el cálculo del coeficiente costo- efectividad y se aplicó la regla de decision. Resultados: Se obtuvo que la intervención A, llamada "Equilibra tu vida", basada en actividad física, consulta nutricional y taller a familiar fue la más costo efectiva, obteniendo un costo total $311,841.00 con un porcentaje de efectividad del 30%, y un coeficiente de efectividad de 10.39. Conclusiones: No necesariamente una intervención màs costosa, es la intervención màs efectiva, y asì dar respuesta congruentes y concretas a la necesidades de salud.

Palabras clave: Estudio de Costo Efectividad, Neuropatía diabética, Intervenciones en salud.

 

Summary

Diabetic peripheral neuropathy is the most common of the microvascular complications. A cost-effectiveness analysis was done in 3 interventions to identify which one is the most cost effective in order to reduce the prevalence of Diabetic peripheral neuropathy, in a sample of 556 people, the calculation of the cost- effectiveness ratio was performed and the decision rule was applied, in conclusion it was found that the intervention A, called "Equilibra tu vida" was based on physical activity, nutritional consultation and workshop family was the most cost effective high adhesion, in adherence to treatment.

Introducción

La neuropatía diabética es la más común de las complicaciones micro vasculares de la diabetes mellitus, siendo causa importante de morbilidad y mortalidad asociada a la enfermedad.

La neuropatía diabética (ND) afecta hasta el 30% de personas con diabetes mellitus. Los datos epidemiológicos indican que la prevalencia de ND es mayor en diabetes mellitus tipo 2 que en diabetes mellitus tipo 1 y se detecta hasta en el 6% de pacientes con diagnóstico inicial de diabetes mellitus con una prevalencia que se incrementa hasta el 30% señalado, de acuerdo con el tiempo de evolución de la enfermedad, sobre todo a partir de los 10 años de evolución. (1,2)

Se estima que la enfermedad arterial periférica afecta al 10% de los pacientes mayores de 70 años. La presentación asintomática es la más frecuente. El tabaquismo, un índice tobillo-brazo (ITB) menor 0.6 y DM son factores de mal pronóstico. La diabetes mellitus es la principal causa de neuropatía a nivel mundial. Se considera que hasta 50 a 75% de las personas con diabetes desarrollan neuropatía después de 5 a 10 años de evolución. La principal forma de neuropatía diabética, la predominantemente sensitiva simétrica y distal, es la responsable del pie diabético e incrementa el riesgo de amputación; de hecho, se considera que es la responsable de 50 a 75% de las amputaciones no traumáticas. (3)

La relevancia de realizar un estudio de costo efectividad para la disminución de la prevalencia de neuropatía de pacientes diabéticos reside en el hecho de que se desconocen los beneficios o limitaciones de las diferentes intervenciones, en los pacientes de la comunidad de Xoxocotla, Morelos. Es por esto que la importancia de realizar este estudio permitirá identificar cuáles son las diferentes opciones y las mejores intervenciones costo efectivos, y así dar respuesta a esas necesidades de salud. La información recolectada será útil para la toma de decisiones e implementar estrategias y programas para beneficiar a la población.

Esta investigacion tiene como objetivo determinar mediante un estudio de costo efectividad cual de tres intervenciones en Xoxocotla, Morelos es la màs costo efectiva para disminuir la prevalencia de neuropatìa diabètica secundaria a Diabetes Mellitus.

 

Material y métodos

Se trató de un ejercicio de análisis de costo-efectividad, para identificar la intervención más costo efectiva para disminuir la prevalencia de neuropatía periférica secundaria a Diabetes mellitus.

La estimación de la población diabética en Xoxocotla se realizó con base en los estimadores nacionales, 8.9% de prevalencia de Diabetes Mellitus tipo 2 en el estado de Morelos. La población de la comunidad de Xoxocotla es de 21,074. Por lo que la estimación de la población de personas con Diabetes Mellitus tipo 2 en la comunidad de Xoxocotla es de 1875.586. De dicha población solo el 29.6 % se atiende en el centro de salud, por lo que la muestra obtenida fue de 556 personas con diabetes.

Se propusieron 3 intervenciones, intervención A "Equilibra tu vida", está basada en nutrición, actividad física y taller a familiar.

Para ello se realizarán talleres y consultas de nutrición mensuales en el centro de salud; dichas valoraciones serán dadas por 3 nutriólogas con 10 consultas por día; cada persona recibirá una consulta mensual en un periodo de un año, en las cuales se realizarán mediciones antropométricas y proporcionará un plan nutricio personalizado; además se ofrecerán talleres a la persona diabética y a su familiar, con el fin de incluir a la familia en el programa de alimentación y se sensibilicen sobre la ayuda mutua para mejorar la adherencia a la alimentación, ejercicio y tratamiento.

Para los talleres se contará con una computadora y un cañón, con el fin de hacer más atractiva y dinámica la información que se proporcione. Un técnico en informática se encargará del mantenimiento del equipo de cómputo cada 3 meses durante un año.

Cada mes un activadorfísico otorgará planes de ejercicios para que los usuarios los realicen en casa; durante éste periodo se contará con una grabadora para los talleres de actividad física, ver tabla 1.


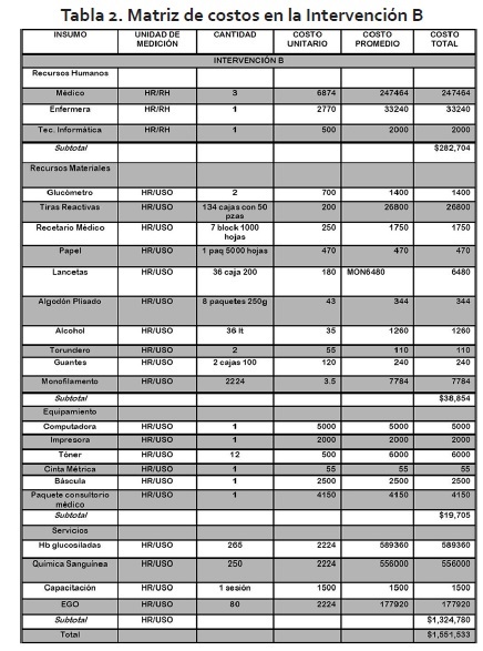
La intervención B llamada "Cuida tus pasos y mide tu azúcar", estará enfocada al tratamiento médico, en la cual se contará con tres diferentes médicos que otorguen consulta, y una enfermera. Para el seguimiento se contará con mediciones mensuales de glucosa por medio de glucosas capilares. También se realizarán cada 3 meses estudios de laboratorio de química sanguínea de 6 elementos, hemoglobina glucosilada y examen general de orina. El médico contará con una computadora para realizar las notas médicas y registros del expediente de cada usuario.

En esta intervención se contará con 3 médicos, los cuales recibirán capacitación de promoción, medidas preventivas, diagnóstico, tratamiento de diabetes y polineuropatía, así como en el uso del monofilamento de Semmes Weinstein; los 3 médicos atenderán 556 personas con diabetes, con un promedio de 9-10 consultas diarias, su seguimiento será de 1 consulta mensual durante un año; la enfermera realizará medidas antropométricas, así como la toma de destrostix.

El servicio de laboratorio será subrogado al laboratorio cercano a la localidad de Xoxocotla y tendrá estándares de calidad (ISO 9000, ISO 9001), ver tabla 2.


La intervención C, llamada "Tienes el control en tus manos", contempla entregar glucómetros a las personas con diabetes, para que realicen la toma de glucosa capilar matutina diaria en ayuno, con registro en carnet de control; éste será entregado al médico una vez por mes, durante un año; en las consultas se realizará valoración completa. Se contratará un médico para realizar 22 consultas al día, en un horario de 8 horas y dos enfermeras que realizarán medidas antropométricas, toma de presión y glucosa capilar; asimismo instruirán a las personas diabéticas sobre el uso correcto del glucómetro y realizarán la dispensación de lancetas, tiras y carnets de control y auxiliarán al médico y a los psicólogos en las actividades correspondientes.

Se realizarán terapias psicológicas emocionales en las cuales se sensibilizará al usuario con el fin de que la adherencia sea efectiva; en este caso se contratarán 3 psicólogos que otorgarán 10 consultas al día, con un costo unitario de $7,537.00 y un costo promedio de $271,332.00, dos enfermeras con un costo unitario de $5,953.00 y un costo promedio de $ 142,872.00, y un médico con un costo unitario de $6,544.00 y un costo total de $78,528.00, todos los costos estimados de manera anual, con un subtotal de $ 349,860.00.

En cuanto a recursos materiales, se contemplan 556 glucómetros con un costo total de $389,200.99, 4,060 cajas de tiras reactivas (cada caja con 50 piezas) y 1,015 cajas de lancetas (cada caja con 200 piezas) ambas con un costo total de $994, 700.00. Se contempla en cuanto a papelería para los carnets de control, papel para notas médicas y plumas $228.00. Como equipamiento se consideró una computadora para llevar acabo un expediente clínico de los pacientes y el registro de consultas médicas y psicológicas, con un subtotal de $1, 395,128. Con un costo total de $1, 744,988.00.

Se utilizó la herramienta de costo- efectividad, donde se empleó el cálculo del coeficiente costo efectividad para identificar la intervención más costo-efectiva. El efecto es de impacto, que se observa a largo plazo (1 año) en el que disminuirá la prevalencia de neuropatía secundaria a diabetes. A una efectividad de 30%, para la intervención B del 20 % y para la C del 50 %, esto se basa en bibliografía donde se justifican dichas intervenciones; para la intervención A, se menciona que la adherencia al tratamiento por parte de las personas diabéticas es más efectiva cuando la familia es parte de este proceso; para la intervención B se menciona en la ENSANUT 2012, que el porcentaje de la población con diabetes en quienes se realizó la revisión de pies en los servicios de medicina preventiva fue muy bajo para todos los grupos de edad, en ambos sexos.

En la intervención C, fue considerada de acuerdo a los determinantes sociales, que menciona la OMS, ya que al empoderaralindividuo se hace consiente de su patología, de este modo se trasforman en personas participativas, y la recomendación que se realiza en la NOM-015 es de fomentar el auto control.

 

Resultados

Serealizóelcálculodelcoeficientecosto- efectividadpara identificar la intervención más costo-efectiva,posterior a la cual se aplicó la regla de decisión, donde la intervención con el coeficiente más cercano a cero es la más efectiva. Con base en este análisis, la intervención más costo efectiva es la A "Equilibra tu vida"; está basada en nutrición, actividad física y taller a familiar. Ver tabla 3.


 

Discusión

La evaluación de costo-efectividad permite realizar un ejercicio de búsqueda de información en diferentes fuentes como el Instituto Nacional de Salud Pública, Secretaria de Salud Pública, datos estadísticos del Centro de Salud Xoxocotla Morelos del Seguro Social, investigaciones teóricas y de tratamiento en diabetes mellitus o sobre intervenciones de costo-efectividad; la planeación del cómo se llevarán a cabo las actividades partiendo de los objetivos del programa, e identificación de los recursos a utilizar: recursos humanos, económicos y materiales, y finalmente la búsqueda de mecanismos para la gestión con las diferentes instituciones de acuerdo al tipo de prestación de servicios: Seguridad Social, Asistencia Pública y Sector Privado. Este ejercicio permite visualizar los posibles obstáculos que pueden existir en nuestra intervención.

Es por esto que el realizar el análisis de costo-efectividad, permite identificar cuál de las diferentes opciones, es la intervención más costo-efectiva y así dar respuestas congruentes y concretas a las necesidades de salud.

 

Conclusiones

De las tres intervenciones, la primera "Equilibra tu vida", es la intervención con mayor costo-efectividad, obteniendo un costo total de $311,841.00, con un porcentaje de efectividad del 30%, y un coeficiente de efectividad de 10.39. Con esto concluimos que no necesariamente una intervención más costosa, es la intervención más efectiva.

El ejercicio permite obtener habilidades para desarrollar un análisis de costo-efectividad, donde se abordan diferentes necesidades de salud e incluso la posibilidad

de reevaluar algunos programas ya existentes para reajustarlos, si es necesario. Al igual que permite reflexionar acerca de la importancia de tener e integrar los diferentes puntos de vista de los profesionales de las diferentes áreas, integrando acciones para la solución a una necesidad de salud.

 

Referencias Bibliográficas

  1. Bakker K, Acker K, Morbach S, Perry A. Promover la educación para los cuidados del pie en países en desarrollo: el Programa Caribeño de Atención al Pie Diabético, Dic, 2009, Vol 54 no.3.

  2. Diabetes Atlas 3ª Edición, Federación Internacional de Diabetes, 2006.

  3. Ametov A, Barinov A, O’Brien P, Dyck PJ, Herman R, Litchy WJ et al.The sensory symptoms of diabetic polyneuropathy are improved with α-lipoic acid: the SYDNEY trial. Diabetes Care 2003; 26: 770-776.

  4. INSP. ENSANUT 2012. Evidencia para la política en salud. Diabetes Mellitus: la urgencia de reforzar la respuesta en políticas públicas para su prevención y control. [consultado en Enero 2014] de la página ensanut. insp.mx.

  5. Secretaria de Salud. NOM.015 SSA2-1994. Para la prevención, tratamiento y control de la diabetes mellitus. [consultado Enero 2014] de la página http://www.salud.gob.mx.

  6. Armando Arredondo-López, Esteban de Icaza- del Río, et al Años de vida ganados y calidad de vida para evaluar el costo efectividad de intervenciones para la insuficiencia renal en México. SALUD EN TABASCO Vol. 18, No. 3, Septiembre-Diciembre 2012, pp. 103-111.

  7. Gómez-Pérez FJ: Conceptos generales de tratamiento del paciente diabético. En: Gómez-Pérez FJ, Rull JA, Editores. Diabetología 1994 (en prensa). Instituto Nacional de la Nutrición Salvador Zubirán.

  8. Parker JP, Javaher SP, Jackson FK 4Th and Carter GT. Considerations for neuropathic pain conditions in life care planning. PHYS MED REHABIL CLIN Vol.24, No 3, Abril 20, pp. 507-520.

  9. Villarreal Ríos y colbs. Coste-efectividad del uso de esquemas de tratamiento farmacológico en pacientes con diagnóstico de diabetes mellitus tipo 2. CLÍNICA DE MEDICINA DE FAMILIA Vol. 5, No 3. Albacete, Oct 2012. [consultado Enero 2014 de la página http://scielo.isciii.es.

  10. Secretaría de Trabajo y Previsión Social STPS. Tabla de salarios mínimos generales y profesionales por áreas geográficas. México. [Consultado Enero de 2014] de la página www.consami.gob.mx.